This work was in part supported by the National Science Foundation–Department of Energy (DOE) partnership for plasma science and engineering (grant DE-SC0016248) and by the DOE–National Nuclear Security Administration (grant DE-NA0003842).

First-Principles Equation of State (FPEOS) Database for Warm Dense Matter Computation

Authors

B. Militzer, F. Gonzalez-Cataldo, S. Zhang, K. P. Driver, F. Soubiran

Overview

With the goal in mind of making WDM computations more reliable and efficient, we make available our EOS tables for 11 elements and 10 compounds as well as the C++ computer codes for their interpolation. Python code is provided to generate graphs of shock Hugoniot curve, isentropes, isobars, and isotherms for compounds and user-defined mixtures.

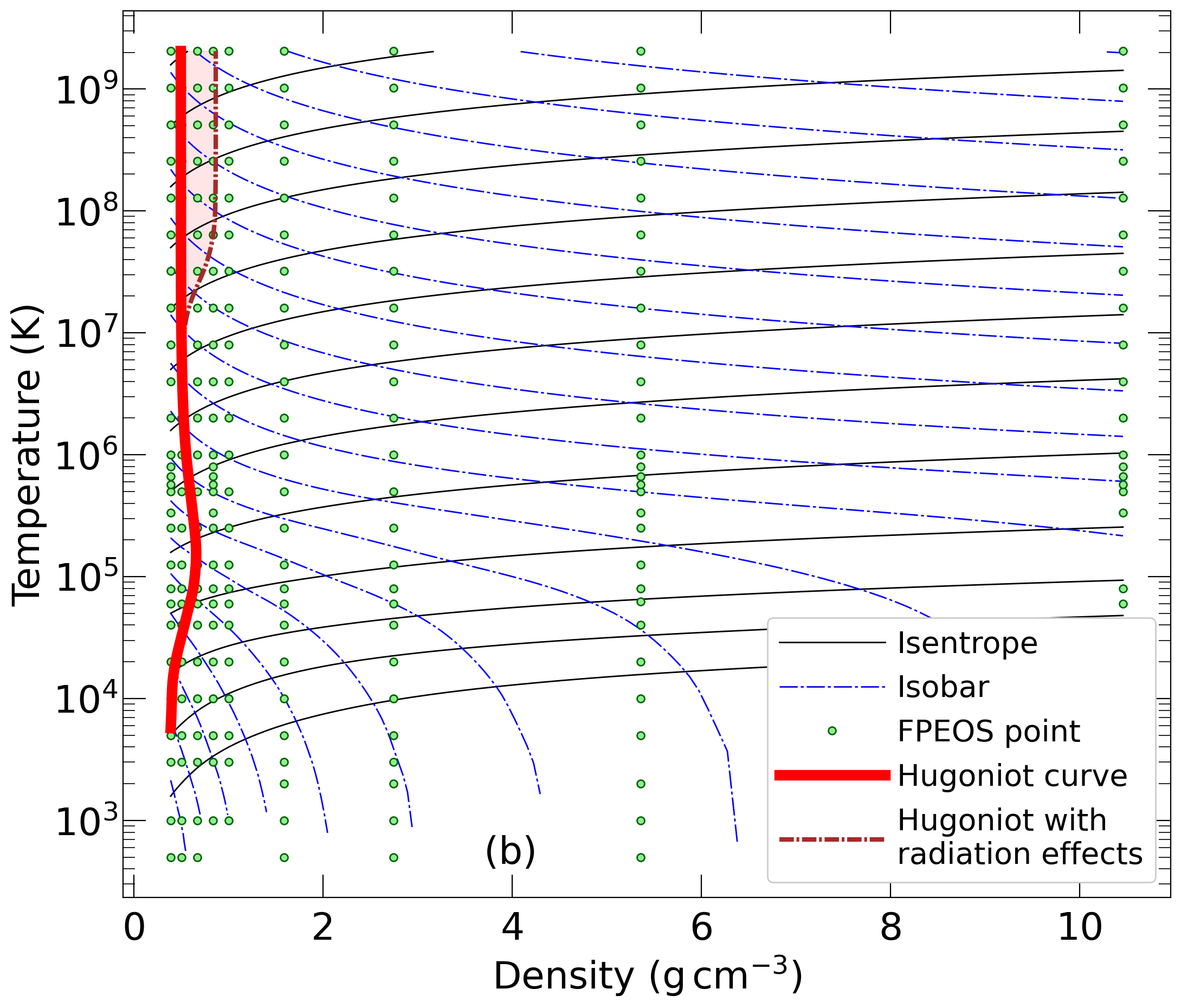
We put together this first-principles equation of state (FPEOS) database for matter at extreme conditions by combining results from path integral Monte Carlo and density functional molecular dynamics simulations of the elements H, He, B, C, N, O, Ne, Na, Mg, Al and Si as well as the compounds LiF, B4C, BN, CH4, CH2, C2H3, CH, C2H, MgO, and MgSiO3. For all these materials, we provide the pressure and internal energy over a wide density-temperature range from ~0.5 to 50 g/cc and from ~104 to 109 K. This database encompasses the results from approximately 5000 different first-principles simulations. It allows one to compute isobars, adiabats, and shock Hugoniot curves in the regime of L and K shell ionization. Invoking the linear mixing approximation, one can study the properties of user-defined mixtures at high density and temperature.

Recommended citation

B. Militzer, F. Gonzalez-Cataldo, S. Zhang, K. P. Driver, F. Soubiran, “First-Principles Equation of State Database for Warm Dense Matter Computation”, Physical Review E 103 (2021) 013203.

Illustrative figures

(1) Download the latest version

Date File description Download
10-26-25 Elements and compounds can be selected by name or formula instead by specifying an index:
fpeos EOS=2
fpeos EOS=He
fpeos EOS=13
fpeos EOS=B4C
fpeos binaryMixture EOS1=2 1.0 EOS2=7 1.0
fpeos binaryMixture EOS1=He 1.0 EOS2=Ne 1.0
fpeos ternaryMixture EOS1=17 8.0 EOS2=16 2.0 EOS3=6 8.0
fpeos ternaryMixture EOS1=CH1.5 8.0 EOS2=CH2 2.0 EOS3=O 8.0
Download fpeos_10-26-25.tar.gz
05-22-24 Figures are opened one by one. Download fpeos_05-22-24.tar.gz
05-21-24 Added tutorial file: FPEOS_tutorial.pdf Download fpeos_05-21-24.tar.gz
05-20-24 1) For oxygen, set default rho0=1.33416818
2) Added openCommand=... and pythonCommand=...
3) Pylab → PyPlot
Download fpeos_05-20-24.tar.gz
05-17-24 Minor updates in Python scripts Download fpeos_05-17-24.tar.gz
02-12-22 This version supports ternary mixtures like C10-H16-O8 Download fpeos_02-12-22.tar.gz
01-07-21 First public version of our FPEOS code. Download fpeos_01-07-21.tar.gz

(2) Installation

To install our FPEOS code, download and untar the latest version, change into the FPEOS directory and type make:

 my_machine:~/Downloads> tar -xzf fpeos_01-07-21.tar.gz
 my_machine:~/Downloads> cd FPEOS
 my_machine:~/Downloads> make

This will call Gnu’s C++ compiler g++ with the argument -O3. The output should be:

g++ -O3  -c FPEOS_29.C
g++ -O3  -c EOSTableSimple.C
g++ -O3  -c Parser.C
g++ -O3  -c ReadInTable.C
g++ -O3  -c Standard.C
g++ -O3  -c Form.C
g++ -O3  -c Physics.C
g++ -O3  -c Spline.C
g++ -O3  -c FermiGas.C
g++ -O3  -c RelativisticFermiGas.C
g++ -O3  -c Debye.C
g++ -O3  -c GKIntegration.C
g++ -O3  -c RungeKutta.C
g++ FPEOS_29.o EOSTableSimple.o Parser.o ReadInTable.o Standard.o Form.o Physics.o Spline.o FermiGas.o RelativisticFermiGas.o Debye.o GKIntegration.o RungeKutta.o -lm -o fpeos

In case this fails, try editing the Makefile or switch to a different compiler. We do not provide executables for any operating systems here but our source code has been compiled successfully with these compilers:

  • Linux g++ version 7.5.0 (Ubuntu 7.5.0-3ubuntu1~18.04)
  • Linux g++ version 4.8.4 (Ubuntu 4.8.4-2ubuntu1~14.04.4)
  • macOS clang version 17.0.0 (clang-1700.3.19.1)
  • macOS clang version 13.0.0 (clang-1300.0.29.30)
  • macOS clang version 12.0.0 (clang-1200.0.32.2)

To run our code, you need a C++ compiler. Python needs to be installed to generate the graphs (but C++ code will work without Python). Linux machines typically have the g++ compiler and Python already installed.

On Macs, we recommend installing XCode with the command line tools as well as installing Python with Anaconda (but there could be more disk space conserving options to install a C++ compiler and Python).

On Windows, install Python as well as Cygwin with g++ version 10.2.1. Compile and run the resulting fpeos.exe. Open the PDF files with cygstart.

(3) Files included

The EOS tables are stored in the following files

Al_EOS_09-18-20.txt C16H24_EOS_09-18-20.txt LiF_EOS_09-18-20.txt Ne_EOS_09-18-20.txt
B4C_EOS_09-18-20.txt C18H18_EOS_09-18-20.txt MgO_EOS_09-18-20.txt O_EOS_09-21-20.txt
BN_EOS_09-18-20.txt C20H10_EOS_09-18-20.txt MgSiO3_EOS_09-18-20.txt Si_EOS_10-19-20.txt
B_EOS_09-18-20.txt C_EOS_09-18-20.txt Mg_EOS_09-18-20.txt
C10H40_EOS_09-18-20.txt H_EOS_09-18-20.txt N_EOS_09-18-20.txt
C14H28_EOS_09-18-20.txt He_EOS_09-18-20.txt Na_EOS_09-18-20.txt

In every file, you find a header followed by blocks of data, one for every density. Our carbon EOS file begins with:

f= C N= 1 rho[g/cc]=   0.100006 V[A^3]=     199.43071700 T[K]=       5000 P[GPa]=          0.053     0.007 E[Ha]=       -37.66843800  0.00054900
 f= C N= 1 rho[g/cc]=   0.100006 V[A^3]=     199.43071700 T[K]=      10000 P[GPa]=          0.182     0.022 E[Ha]=       -37.56017000  0.01215800
 f= C N= 1 rho[g/cc]=   0.100006 V[A^3]=     199.43071700 T[K]=      50000 P[GPa]=          5.670     0.013 E[Ha]=       -36.69107600  0.00495700
The columns provide the following information:
2The chemical formula, such as C, MgSiO3, C10H40, etc. This entry is not used to normalized V and E.
4Number of atoms, N, that are used to normalized the extensive quantities V and E in later columns.
6Density in gramm/cm3 using standard masses for all atoms.
8Volume of N atoms in units of Angstroem3 (1 Angstroem = 10-10 meters = 1/0.529177208607 aBohr). This is directly taken from the simulations and does not depend on the assumed atomic masses.
10Temperature in units of Kelvin (K).
12Pressure derived from PIMC or DFT-MD simulations in units of 109 Pascals.
131-sigma error bar of pressure that was derived when the ensemble average was computed.
15Internal energy per N atoms in units of Hartrees (1 Ha = 4.359743802665602 × 10-18 J = 27.21138342791109 eV = 315774.6608728946 K × kb). The zero of energy is that of a fully ionized system so that an hydrogen atom has the energy of −0.5 Ha = −13.6 eV. The means all VASP energies need to be shifted but those from Cupid, Abinit, Quantum Espresso, and most quantum chemistry codes do not.
161-sigma error bar of the internal energy that was derived when the ensemble average was computed.

The C++ source files are

Array.h Form.h ReadInTable.C
DataElement.h Function.h ReadInTable.h
Debye.C GKIntegration.C RelativisticCorrectionsFermiGas.h
Debye.h GKIntegration.h RelativisticFermiGas.C
EOSTableSimple.C HeapSort.h RelativisticFermiGas.h
EOSTableSimple.h IdealMixture.h RungeKutta.C
Elements.h OrderedArray.h RungeKutta.h
FPEOS_29.C (main code) ParseCommandLineArguments.h Spline.C
FermiGas.C Parser.C Spline.h
FermiGas.h Parser.h Standard.C
FindMinimum.h Physics.C Standard.h
FindRoot.h Physics.h Vector.h
Form.C Random.h

Python scripts called by the C++ code:

FPEOS_P_T_plot03.py FPEOS_comp_P_plot04.py FPEOS_mixture_rho_T_plot01.py
FPEOS_T_E_Debye_plot03.py FPEOS_comp_T_plot03.py FPEOS_mixture_up_us_plot01.py
FPEOS_T_E_Ideal_plot03.py FPEOS_mixture_P_T_plot01.py FPEOS_rho_T_plot03.py
FPEOS_T_P_Debye_plot03.py FPEOS_mixture_comp_P_plot01.py FPEOS_up_us_plot01.py
FPEOS_T_P_Ideal_plot03.py FPEOS_mixture_comp_T_plot01.py

These files should work with Python 2.7 and 3.7 as long as the following import commands work:

from matplotlib.pylab import *
 import numpy
 import sys
 import os

Finally there is a “readme.txt” file.

(4) Execution

To obtain the latest instructions type:

fpeos

which will print the available elements and compounds in the database:

1: Hydrogen8: Sodium15: CH4
2: Helium9: Magnesium16: CH2
3: Boron10: Aluminum17: CH1.5
4: Carbon11: Silicon18: CH
5: Nitrogen12: LiF19: CH0.5
6: Oxygen13: B4C20: MgO
7: Neon14: BN21: MgSiO3

You can run our fpeos code in the following ways:

For helium EOS:fpeos EOS=2
For B4C EOS:fpeos EOS=13
For MgSiO3 EOS:fpeos EOS=21
For H+He mixture:fpeos binaryMixture EOS1=1 0.92 EOS2=2 0.08
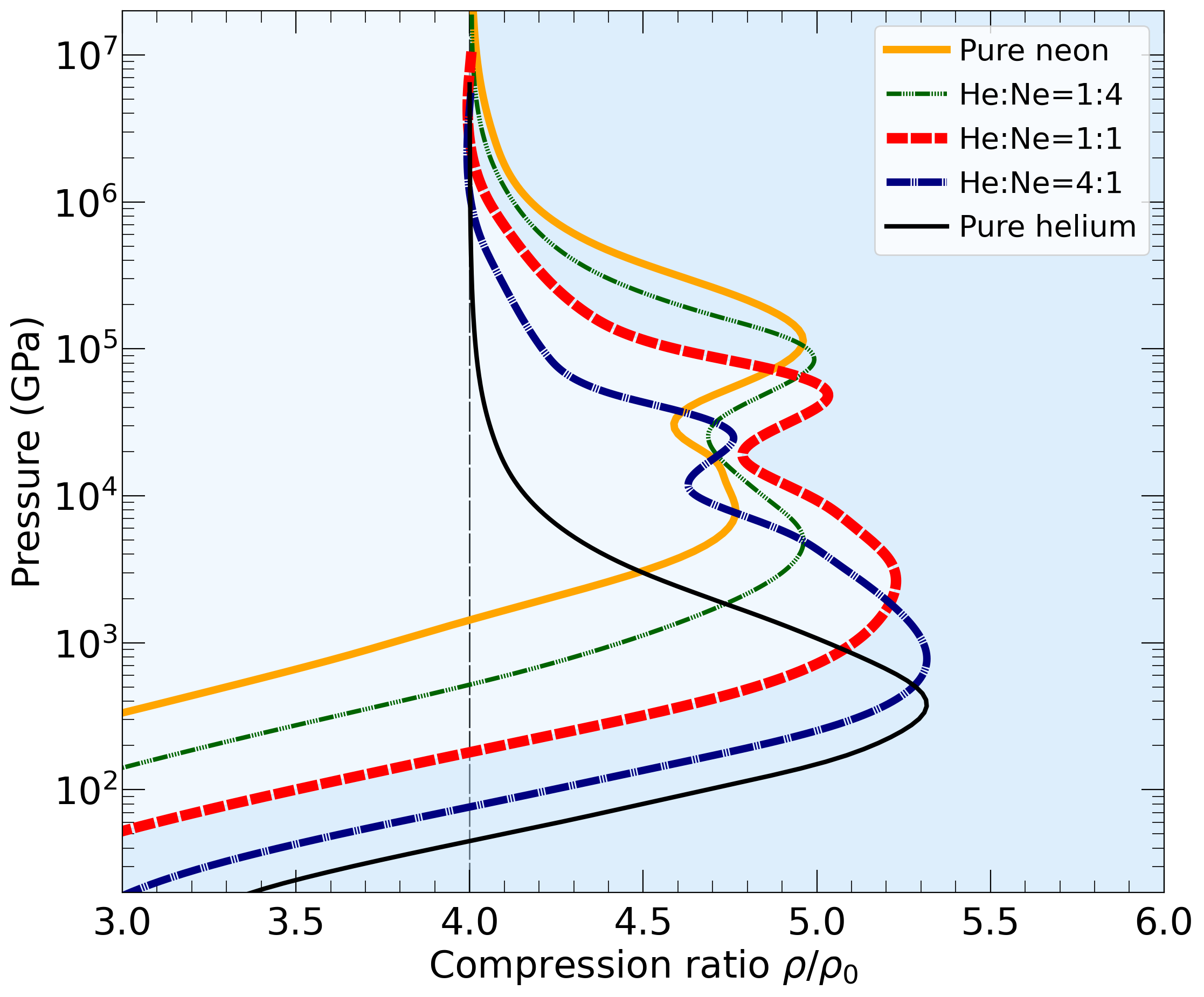
For He+Ne mixture:fpeos binaryMixture EOS1=2 1.0 EOS2=7 1.0
For MgO+MgSiO3 mixture:fpeos binaryMixture EOS1=20 1.0 EOS2=21 1.0
To study carbon monoxide CO ≈ C+O mixture:fpeos binaryMixture EOS1=4 1.0 EOS2=6 1.0 rho0=1.0426 E0=-112.9115
To study carbon dioxide CO2 ≈ C+2O mixture:fpeos binaryMixture EOS1=4 1.0 EOS2=6 2.0 rho0=1.6381 E0=-188.1576
To study water H2O ≈ 2H+O mixture:fpeos binaryMixture EOS1=1 2.0 EOS2=6 1.0 rho0=1.0 E0=-76.392172
To study hydrogen peroxide H2O2 ≈ 2H+2O mixture:fpeos binaryMixture EOS1=1 2.0 EOS2=6 2.0 rho0=1.71330 E0=-151.4893
To study alumina Al2O3 ≈ 2Al+3O mixture:fpeos binaryMixture EOS1=10 2.0 EOS2=6 3.0 rho0=3.9929 E0=-708.8067
To study acetic acid C2O2H4 ≈ 2CH2+2O mixture:fpeos binaryMixture EOS1=6 2.0 EOS2=16 2.0 rho0=1.049 E0=-229.0
To study glyoxal C2O2H2 ≈ 2CH+2O mixture:fpeos binaryMixture EOS1=6 2.0 EOS2=18 2.0 rho0=1.27 E0=-227.8

rho0 [g/cc] and E0 [Ha/FU] overwrite the default values for initial conditions of Hugoniot curves.

The extra numbers are number fractions that define the formula unit (FU), which is used to normalize extensive quantities like volume and energy.

To normalize per C2H6 unit, write:fpeos binaryMixture EOS1=15 1.0 EOS2=16 1.0
To normalize per CH3 unit, write:fpeos binaryMixture EOS1=15 0.5 EOS2=16 0.5
To normalize per atom, write:fpeos binaryMixture EOS1=15 0.125 EOS2=16 0.125

The FPEOS code will write a number of .txt files, then call Python to make plots, and finally try to open the .pdf files. To identify all new output files, type ls -ltr.

Add the options doNotCallPython or doNotOpenPDFFiles if you prefer. The arguments processAllEOSs, processAllMixturesOfElements, processAllMixtures, hugoniotCompressionMaximum, and noLogInterpolation are available also.

(5) Resulting files

In standard Linux fashion, type ls -ltr to figure out which files have been written.

For fpeos EOS=13, the result should be:

FPEOS_convex_hull.txt
FPEOS_isobars.txt
FPEOS_isochor_points.txt
FPEOS_isochores_ideal_Debye.txt
FPEOS_isotherms.txt
FPEOS_isotherm_points.txt
FPEOS_adiabats.txt
FPEOS_Hugoniot.txt
FPEOS_Hugoniot_lower_initial_density.txt
FPEOS_Hugoniot_higher_initial_density.txt
FPEOS_Hugoniot_rel.txt
FPEOS_Hugoniot_rad.txt
FPEOS_T_P_Debye_plot03.pdf
FPEOS_T_P_Debye_plot03.png
FPEOS_T_E_Debye_plot03.pdf
FPEOS_T_E_Debye_plot03.png
FPEOS_T_P_Ideal_plot03.pdf
FPEOS_T_P_Ideal_plot03.png
FPEOS_T_E_Ideal_plot03.pdf
FPEOS_T_E_Ideal_plot03.png
FPEOS_P_T_plot03.pdf
FPEOS_P_T_plot03.png

The .txt files were all written by the fpeos executable. The .png and .pdf files were produced by the Python scripts that fpeos called.

(6) A few concluding remarks

1) As initial conditions of the Hugoniot curve of a mixture, the code will assume a non-bonding, heterogenous mixture of compounds A and B. By default, both compounds are assumed in the initial state that we studied in the original publication. For oxygen, this was the crystalline Γ phase at a density of ρ0=0.667 g/cc. To study H2O, one needs to overwrite the initial density and internal energy, E0, to include the effects of chemical bonding. We cannot provide the E0 value for all possible starting states. Any all-electron DFT code can be used to derive a reasonable E0 but admittedly this requires some additional skills. However, such calculations do not need to be perfect and are simpler than computing the P(ρ,T) and E(ρ,t) data points in our database.
2) E0 needs to be given in Hartrees per formula unit (FU). For compounds, the FU is defined in the tables (e.g., For oxygen this is an atom, not a molecule. For ethylenyl, it is CH1.5 instead of C2H3.) For mixtures, FU is defined by two parameters in the command line. When they are changed, E0 must be changed accordingly.
3) Within our C++ code, we calculate properties an ideal Fermi gas and a Debye plasma. Anyone is welcome to incorating these routines elsewhere.
4) I wrote these C++ routines over several years to perform day-to-day calculations. They were kept simple and big libraries have been avoided.
5) Any regular Python user will find our plotting routines straightforward. Anyone else may find the quality an improvement over earlier plotting software.

Contact

If you have feedback, comments, or a specific scientific problem you would like to solve please send email to militzer[at]berkeley[dot]edu.

Best wishes and happy FPEOS computation!
Burkhard Militzer
October 26, 2025.

Back to top